There is an image here
Message from the Head...
Welcome to the Department of Physics of IIT Roorkee. The department is actively involved in teaching and research programs. The course-structure of each program is designed to impart both theoretical and practical knowledge of the subjects to train students for basic research and to face challenges from the industry. The students of all programs carry out projects/dissertation for two semesters and they also go for internship to industry and reputed Indian and foreign institutes to get exposure of current research and technology. The department also runs several computational/programming courses to impart students the programming skillset. Both UG and PG students get opportunity to perform experiments in research laboratories of the department for their project/dissertation work. The faculties of the department are actively engaged in theoretical and experimental research in different frontier areas of research viz. Atmospheric and Space Physics, Atomic and Molecular Physics, Condensed Matter Physics, Nuclear Physics, Photonics and High Energy Physics.

Explore the Department website to learn more about our academic programs, research activities and achievements.

Prof. Vipul Rastogi
Head, Department of Physics
Indian Institute of Technology Roorkee
NEWS & EVENTS
16-20
March, 2026
NTSE-2026
International Conference Nuclear Theory in the Supercomputing Era – 2026 (NTSE-2026)
19-23
December, 2025
69th DAE SSP 2025
69th DAE Solid State Physics Symposium December 19 - 23, 2025
16
April, 2025
Webinar on Transition of Industry Roles by Dr. Neda Baktash on 16th April, 04 PM
https://iitr.ac.in/Academics/static/Department/Physics/Abstract_of_the_talk_Optica.pdf
12
April, 2025
Research Scholar Day 2025
https://iitr.ac.in/Academics/static/Department/Physics/Podium_side_banner-merged.pdf
11
April, 2025
IPA Lecture by Dr. Ankit Kumar, University of Gdansk, Poland on "Open quantum dynamics of Josephson junction based nanodevices"
https://iitr.ac.in/Academics/static/Department/Physics/IPA_Talk_mar2025.pdf
08
February, 2025
SOLID STATE ELECTRONIC TECHNOLOGIES: FROM BULK TO QUANTUM SYSTEMS
https://iitr.ac.in/Academics/static/Department/Physics/Workshop_Program_Schedule.pdf
ANNOUNCEMENTS
List of Provisional Selected Candidates (with Supervisors) PhD Admission Spring 2025-26 Session
Arrangement of accommodation for candidates during Written Test/Interview w.r.t Ph.D admission (Spring Semester) 2025-26
List of Shortlisted candidate for Interview (M.Sc. 2025) Under Golden Girl Scheme
Admission Schedule: M.Tech./M.Arch./MURP Admissions 2025(Sponsored)
Announcement of M.Tech./M.Arch./MURP Admissions 2025(Sponsored)
RECENT RESEARCH
There is an image here
FeCo₂S₄/MWCNT Nanocomposites to achieve high energy density in supercapacitors
This study investigated FeCo₂S₄/MWCNT nanocomposites, where MWCNTs enhanced conductivity, electron transport, and structural stability of electrochemical cycling.
Link
There is an image here
How optical twists in crystals can fool a powerful X-ray technique
A widely used X-ray method for studying the invisible world of electrons and atoms may need a rethink when applied to naturally asymmetric crystals. In such crystals, a common optical effect is birefringence, where the polarisation of light (the direction its electric field points) becomes twisted.
Link
There is an image here
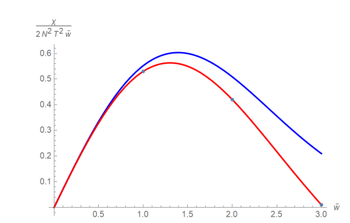
Photoproduction, Paramagnetic Anisotropic QGP, Contact Structures in Hot MQCD
Spectral function-vs-frequency plots in the presence of strong magnetic field
Link
There is an image here
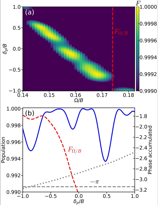
Controlled-𝑍 gate fidelity in neutral-atom arrays
Controlled-Z gate fidelity in neutral-atom arrays with finite blockade and near-degenerate Rydberg pair states
Link
MAJOR RESEARCH AREAS
Atmospheric and Space Physics
Atomic and Molecular Physics
Condensed Matter Physics
High Energy Physics
Nuclear and Accelerator Physics
Photonics & Plasmonics and Quantum Optics
Recently Granted Patents
There is an image here
Patent Status: GRANTED Patent No. 566437 Application No. 202311005235
Prof. Yogesh Sharma has developed "A method to fabricate Solid-state batteries (SSB)". Congratulations to all co-authors, Dr. Brahma Prakash Dubey, Bhisma Narayan Mahanty too.
Read More
Students
600+
Faculty Members
40
Staff Members
17